作为一种被动的传热方式,热对流在传热散热工程应用中至关重要,如何极大地提高对流传热效率,是热对流研究的核心问题。近日,英国正版365首页王伯福、周全等研究者提出了振动热对流的新机理,突破传统流体边界层限制传热瓶颈,实现了对流传热效率的大幅提升。相关论文以“Vibration-induced boundary-layer destabilization achieves massive heat-transport enhancement”为题,于5月22日发表在《Science Advances》。

热对流是最典型的湍流系统,它普遍存在于自然界和各类工程问题中,是地球、行星与恒星(如太阳等)上众多大尺度流动现象的本源,控制着大气、海洋与地幔中物质和能量的交换与输运。由于流体边界层内部的热扩散极大地阻碍了大尺度湍流结构和边界层间的有效热交换,因而实现高效传热需要将边界层湍流化,使边界层内部的传热也变成对流主导。然而,实现热对流的边界层的控制十分困难。
为了解决这一难题,王伯福、周全等研究者将振动引入热对流系统中。研究发现,施加于对流槽的水平振动会产生一种新的对流不稳定性:上下导热板的高速水平振动给边界层内部的流体施加了一个很强的剪切力,从而加速了边界层的失稳,并促发了大量热羽流结构的生成(见图1A-C)。由于羽流结构是热的最主要载体,并控制着热输运过程,羽流结构的大量生成最终导致了对流传热效率的大幅提高。研究结果表明,高频振动可以有效突破流体边界层限制传热的瓶颈,实现热传递效率500%的增量(见图2)。

图1 振动激励下热对流流动显示及传热规律

图2 振动实现对流传热效率的大幅提高
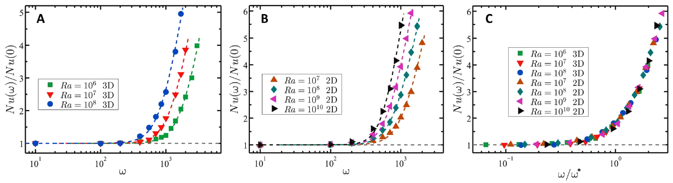
同时,该研究发现随着频率的增加,振动将引发流体边界层的“层流-湍流转捩”,从而传热规律将由经典标度律逐步过渡到终极态标度律(见图3)。1962年以来,湍流界一直在寻找Kraichnan猜想的湍流热对流终极态,该研究结果给出了湍流终极态标度律存在的直接证据。振动激励下的湍流流动普遍存在于自然界和各类工程问题中,振动等外部激励成为湍流控制的主要手段之一。

图3 振动引发传热规律由经典标度律过渡到终极态标度律
英国正版365首页王伯福副教授为该文章的第一作者,365(VIP)英国上市周全教授和清华大学孙超教授为共同通讯作者。该项研究得到了国家杰出青年科学基金等基金委项目和上海市科委项目的资助,研究工作为增强对流传热开辟了新途径,也为工程应用提供理论指导和突破性思路。
论文链接:
https://advances.sciencemag.org/content/6/21/eaaz8239