英国正版365首页2020级流体力学博士研究生李姜华,在刘宇陆教授和王伯福副教授的指导下,在近壁圆柱绕流湍流结构演化及输运特性的系列研究上取得重要成果,在流体力学顶级学术期刊《Journal of Fluid Mechanics》和《Physics of Fluids》上相继发表两篇相关研究论文。
近壁圆柱绕流是经典的物理模型,具有广泛的工程背景,如海底的输油管道和光缆、多段式机翼和涡轮机械等,具有重要的工程和理论意义。365(VIP)英国上市力工学院的湍流课题组长期开展非定常的自由剪切湍流和壁湍流研究,这两种剪切湍流生成机制和演化行为存在明显差异,而近壁圆柱绕流巧妙地将两者结合,从而探究不同剪切湍流之间的相互作用、湍流结构的时空演化行为和湍流输运特性等重要的物理问题。
研究采用高精度的直接数值模拟获取近壁圆柱绕流的三维流场数据(图1),作者精细刻画了不同间隙比下圆柱尾涡与壁面边界层之间的相互作用和发卡涡的生成机制。首次发现由二次涡诱导生成的三次涡结构,利用定量计算边界层内扰动能量的增长等方法说明壁面边界层的转捩机制。利用模态分解证实二次涡和三次涡的特征频率与圆柱尾涡脱落频率一致,以及边界层转捩和条带结构生成相关等物理特性。相关成果发表在流体力学顶级期刊《Journal of Fluid Mechanics》上,论文DOI号:10.1017/jfm.2022.930。

图1 Q准则识别、流向速度染色的瞬时三维涡结构
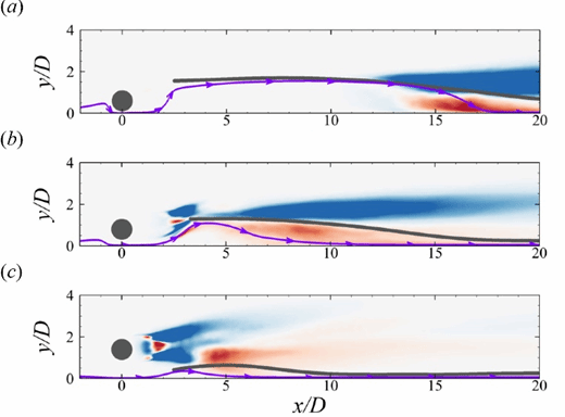
在上述基础上,作者还关注近壁圆柱绕流时圆柱尾流与壁面边界层之间相互作用过程中的不同湍流结构的动量输运、湍动能产生及再分配特性。通过统计猝发事件的发生(图2),阐明了相互作用过程中上抛、下扫事件的发生带动高低速流体之间的动量交换。计算雷诺应力输运方程各项,主要关注雷诺正应力(即湍动能产生项)和湍动能再分配项的空间分布,结合不同湍流结构的演化行为,详细刻画流场中主要的湍流结构(圆柱上下尾涡、KH涡、二次涡、三次涡和发卡涡等)生成和演化过程对湍动能生成和再分配的贡献。相关成果发表在流体力学权威学术期刊《Physics of Fluids》上,论文DOI号: 10.1063/5.0111483。

图2 三阶统计<u'u'u'>
上述工作对研究复杂湍流结构演化行为及其之间的相互作用具有重要的理论意义,为管道铺设、涡轮叶片和电子元器件设计等诸多工程问题提供了理论参考,成果将应用于海底石油管道、城市天然气管道及燃气涡轮发动机,为“超深水时代”全面开发与城市化建设提供技术支撑。
相关理论成果均以李姜华为第一作者,通讯作者为王伯福副教授、刘宇陆教授和力工学院的吴建钊博士,合作作者分别为上海应用技术大学邱翔教授、力工学院周全教授和上海交通大学付世晓教授等。研究获得国家自然科学基金、上海市科委科技创新计划、上海市浦江计划和中国博士后科学基金的支持。