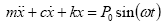
实验18 单自由度系统的强迫振动
一、实验目的
1.学习测量单自由度系统强迫振动的幅频特性曲线。
2.学习用幅频特性曲线确定系统的固有频率f0和阻尼比。
二、实验设备与仪器
1.机械振动与控制实验台。
2.激振信号源(SJF-3型)
3.双通道测振仪(SCZ2-3型)。
4.电动式激振器(JZ-1型)
5.磁电式速度传感器(ZG-1型)。
6.集中质量m 。
三、实验原理
单自由度系统强迫振动的实验装置与仪器如图 4-11-1 所示,其力学模型如图 4-11-2 所示。在正弦激励力P 的作用下,系统做简谐强迫振动,系统的运动微分方程为

运动微分方程的特解,即强迫振动的运动规律为

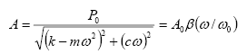
式中ϕ 为初相位, A为强迫振动的振幅:


图4-11-1 强迫振动的实验装置与仪器简图

图 4-11-2 单自由度系统强迫振动的力学模型
式中A0=P0/k为系统静位移,β(ω/ω0)为放大(增益)因子:

式中

为系统的固有角频率,

为阻尼比。上式表示系统的幅频特性,将振幅A (或β)与激励频率 f(或无量纲频率ω/ω0)的关系用图形表示,就是幅频特性曲线,如图 4-11-3 所示。

图 4-11-3 幅频特性曲线
对应于振幅最大(A=Amax )时的频率称为共振频率 fn,即

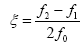
当阻尼较小时,例如当ξ=0.1时,在测量时可以用共振频率fn 来代替固有频率f0 ,相对误差仅为1%,这种测量固有频率的方法称为幅值共振法。可以证明,在小阻尼条件下,阻尼比可用下式近似计算:
参见图
4-11-3
,这种测量阻尼比的方法称为半功率点法。但是在小阻尼情况下,
f2 − f1
的测量精度并不高,是该方法的缺点。
四、实验方法与步骤
1.激振信号源输出端接电动式激振器,对简支梁进行激振,施加正弦交变力;同时用速度传感器拾振,速度传感器输出端接测振仪。
2.调节激振信号源的输出大小,注意不要过载。激振频率由低到高逐渐增加,同时记录频率和对应的振幅。
五、试验结果整理
1.自行设计记录表,根据记录的数据绘制幅频特性曲线。
2.根据幅频特性曲线,确定系统的固有频率f 0。
3.用作图法确定 0.707Amax ,计算阻尼比ξ 。
4.按实验4-10的方法测定系统的模型参数 m、k并计算固有频率,并与本次实验的结果进行比较,分析差别产生的原因。